以前の連載記事『大山壇の入試問題Pick Up !』とテーマが重複することもあるかもしれませんが,主に高校生・大学受験生に向けた内容にしていきます。生徒のみなさんにとっての演習に,先生方にとっては日々の指導の参考に,少しでも役立てば幸いです。
今回は「2次関数の最大・最小」がテーマです。
数学Iで学ぶ2次関数は,その単元だけでなく,その後の関数全般に繋がる考え方が色々と含まれているので,しっかり学習しておいてほしいところです。
3.1 軸と定義域の位置関係
2次関数に限らず,関数全般でグラフが大切です。今回の内容も,「一つ一つを覚えておきましょう」という話ではなく,グラフを考えることで導けるようにしてほしいということです。
さて,2次関数のグラフは放物線になるので,軸と定義域の位置関係によって,最大・最小をとる場所が変わります。
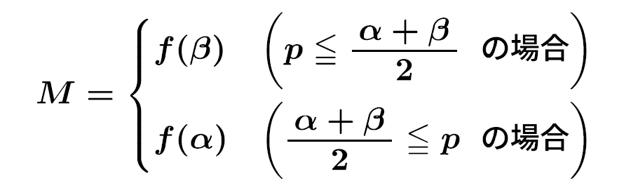
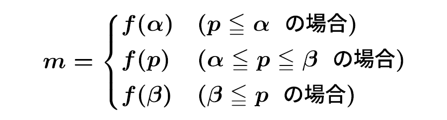
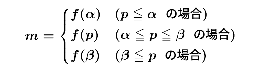
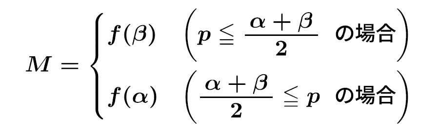
2次関数 \(f(x) = a(x \ – \ p)^2 + q (a \gt 0)\) の \(\alpha \leqq x \leqq \beta\) における最大・最小は,\(y = f(x)\) のグラフを考えて,次図のように分類できます。
最大値は,定義域(見える世界)の右端でとる イ)ロ)と,左端でとる ハ)ニ)の2パターンに分かれます。ロ)と ハ)の切り替わる瞬間は,放物線が軸を中心に左右対称であることに注意して,軸:\(x = p\) が定義域の中点 \(\cfrac{\alpha + \beta}{2}\) に重なるときです。したがって,最大値 \(M\) は
となります。
最小値は,定義域(見える世界)の左端でとる イ),頂点でとる ロ)ハ),定義域の右端でとる ニ)の3パターンに分かれるので,最小値 \(m\) は
となります。
とくに文字定数を含む問題は,高校の定期テストでは応用問題といった扱いぐらいになるでしょうが,入試においては頻出の基本問題です。確実に得点できるようにしておきましょう。
例えば次のような出題があります。
丁寧に,軸と定義域の位置関係に注目して,場合分けしていきましょう。(解答例はこちら)
3.2 置き換えたら範囲のCheck!
様々な問題で,式を見やすくするために置き換えるという場面があります。このとき,絶対に気を付けなければいけないのが変域です。
例えば,\(x\) についての関数
\(y = \sin^2 x \ – \ \sin x \quad (0 \leqq x \lt 2\pi)\) …①
において,\(t = \sin x\) とおくと
\(y = t^2 \ – \ t\) …②
という \(t\) についての 2 次関数になります。
ここで「2 次関数 \(y = t^2 \ – \ t\) のグラフ(下に凸の放物線)はどこまでも上に伸びていくので,最大値なし」と考えてはいけません。
今,\(t = \sin x\) とおいているので,\(0 \leqq x \lt 2\pi\) における \(\sin x\) のとり得る値の範囲を考えて,それを \(t\) の変域としなければいけないのです。つまり,\(\sin x\) のとり得る値の範囲は \(-1 \leqq \sin x \leqq 1\) なので,2次関数②は \(-1 \leqq t \leqq 1\) の範囲で考えることになります。
一般的に,置き換えたら変域の確認が必要です。このことに注意して,次の問題を解いてみましょう。
直接的に言われていませんが,(1)は「範囲に注意して!」という出題者からのヒントでしょう。(解答例はこちら)
3.3 場合分けのバリエーション
上述の2題のように,文字定数を含む問題では,軸と定義域の位置関係に注目することで,グラフの横方向の移動を考え場合分けすることが多いのですが,次の問題は少し違います。
前もってヒントを出しすぎるのは良くないと思うので,まずはチャレンジしてみてください。(解答例はこちら)
どうでしたか?
軸の式には文字定数 \(a\) が含まれないので,横方向の動きではなく,別の動きを考える必要がある問題でした。大山の肌感覚としては,【9】を解ける受験生のうち【11】を解ける人の割合は5割にも満たないでしょう。
3.4 絶対不等式
例えば,実数 \(x\) についての不等式
\(x^2 + 1 \gt 0\)
のように,絶対に成り立つ不等式を絶対不等式と言います。言い換えれば
変数にどんな実数値を代入しても成り立つ不等式
のことです。
この絶対不等式についての問題では,「\(f(x) \gt 0\)」という条件を 「\(\boldsymbol{f(x)}\) の最小値が正」と言い換えると解きやすくなることが多くあります。つまり,絶対不等式の問題は最小値問題に帰着されるということです。
厳密には,最小値をもたない関数 \(f(x)\) を考える場合もあるので,上記の言い換えは必ずしも正しくないのですが,考え方の基本は変わりません。とにかく,グラフの一番下の点に注目するということです。
このことを踏まえて,次の問題を考えてみましょう。
不等式 \(x^2 \ – \ 3x + 2 \gt 0\) の方は解けますね。したがって,\(x^2 + ax + 1 \gt 0\) の方の扱い方がメインです。(解答例はこちら)
余談と言えば余談ですが,
「\(\boldsymbol{p}\) または \(\boldsymbol{q}\)」と「\(\boldsymbol{\overline{p}}\) ならば \(\boldsymbol{q}\)」は同値
です。(なお,\(\overline{p}\) は「\(p\) の否定」です。)
季節外れのネタですが,ハロウィンの「trick or treat」はよく「お菓子をくれなきゃイタズラするぞ」と訳されます。これは(都合よく順番を変えて)
\(p : \text{treat}\)(お菓子くれ) \(q : \text{trick}\)(イタズラするぞ)
と見れば
\(\overline{p}\) ならば \(q\) :お菓子をくれなきゃイタズラするぞ
になっていますね(笑)
第3回は以上になります。「2 次関数の最大・最小」は様々な場面で出てくる重要テーマです。しっかり練習しておきましょう!
さて,次回は「関数の最大・最小(2)」の予定です。お楽しみに♪
宇都宮北高校,東北大学理学部数学科卒。
2006年度から代々木ゼミナールの講師となり,現在は新宿本部校と札幌校に出講しています。対面・映像の授業の他にも,テキスト・模試・解答速報の作成なども行っています。
もっと毒をはいている大山を見たい方は,X(旧Twitter)をどうぞ!→ @dan_oyama_0206
《著書》
・『全国大学入試問題正解』(旺文社)解答執筆(京大,一橋大,東北大など)
・『整数 分野別標準問題精講』(旺文社)
・『全レベル問題集③』(旺文社)
・『全レベル問題集⑤』(旺文社)
・『大山壇の基本から身につける計算力IA』(KADOKAWA)
・『大山壇の基本から身につける計算力IIB』(KADOKAWA)
その他のコンテンツ






